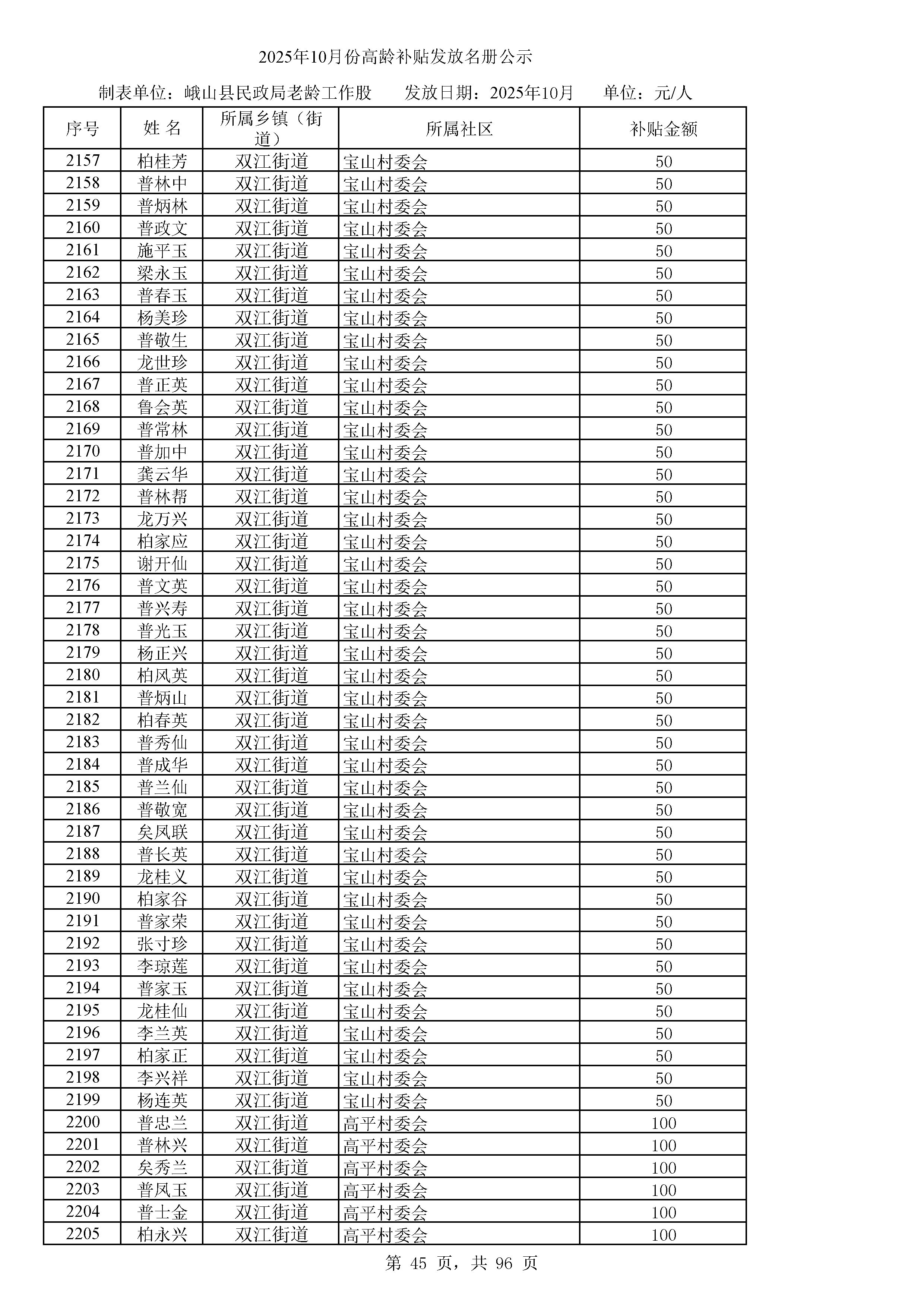
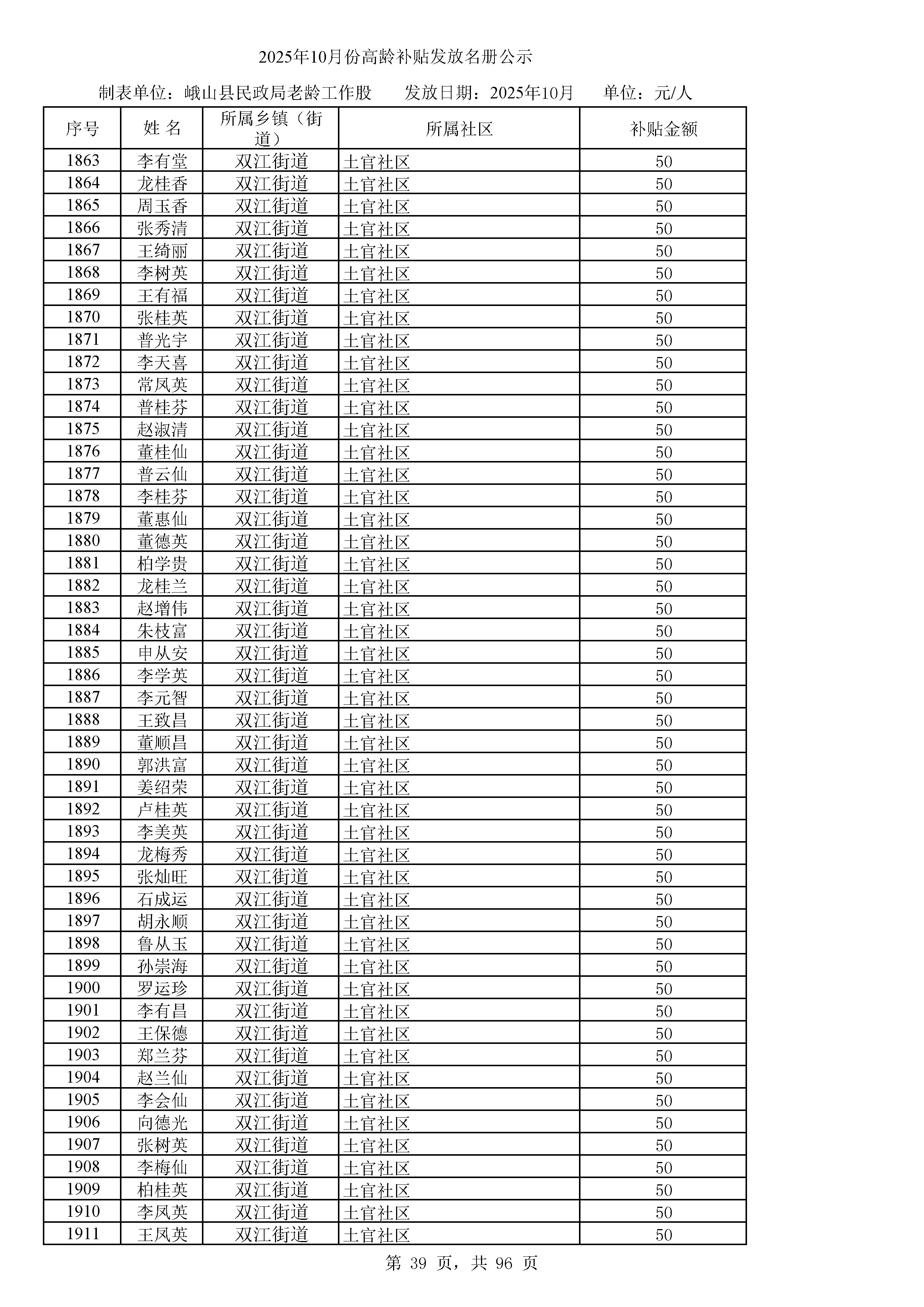
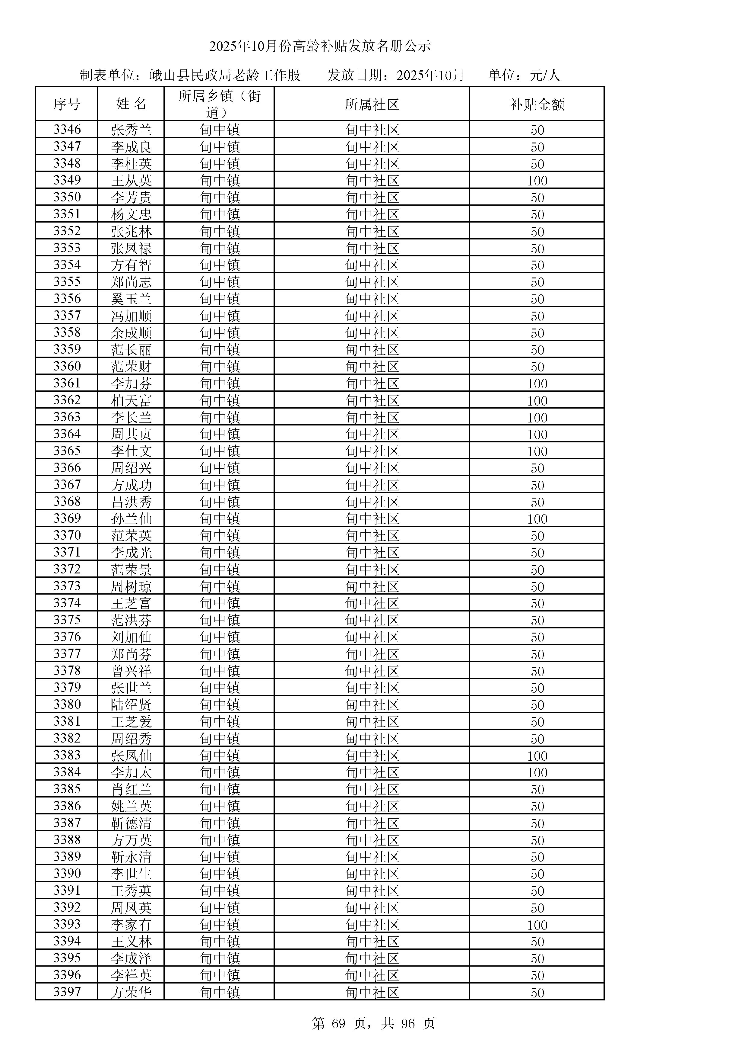
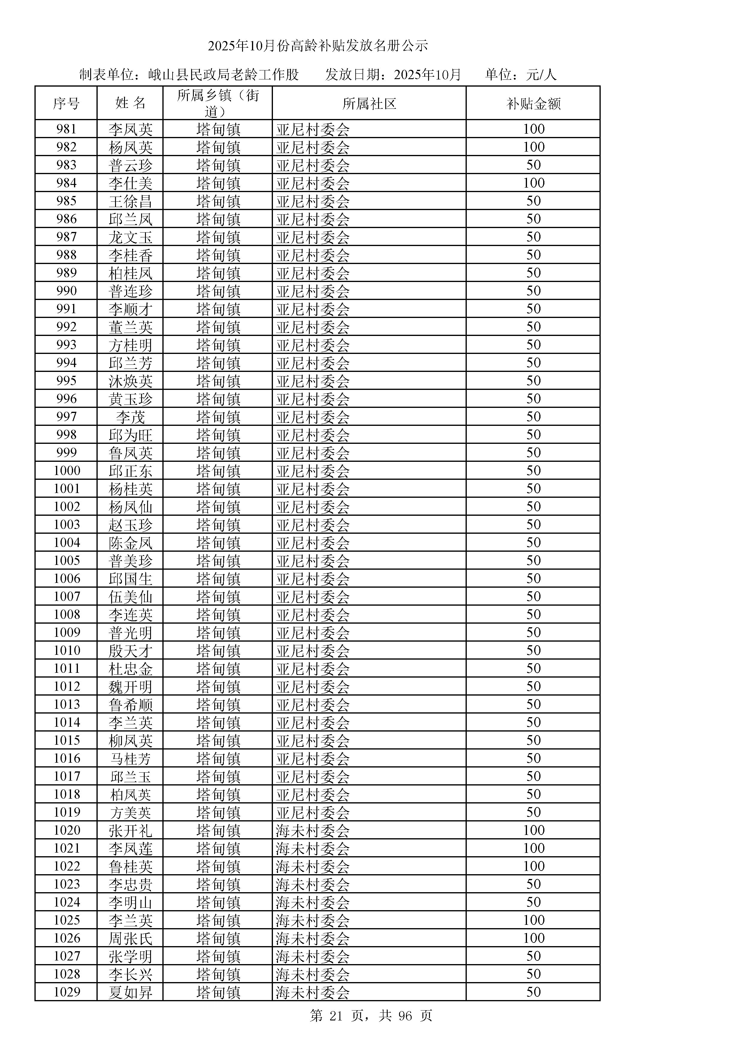
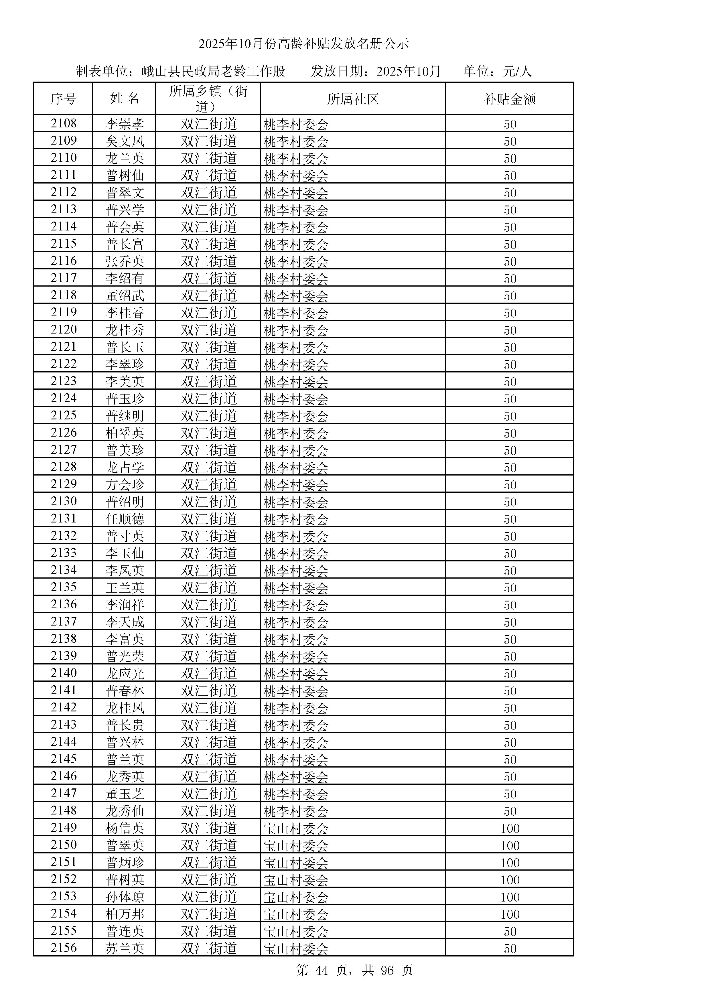
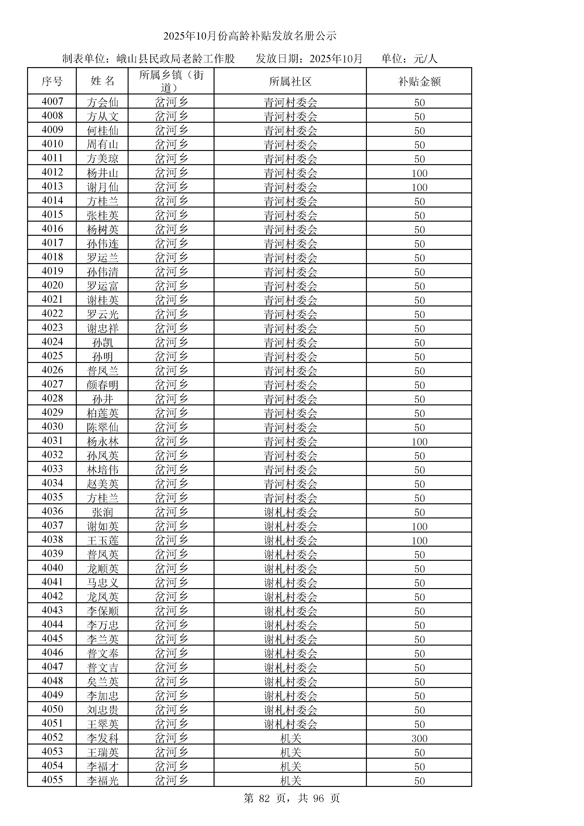
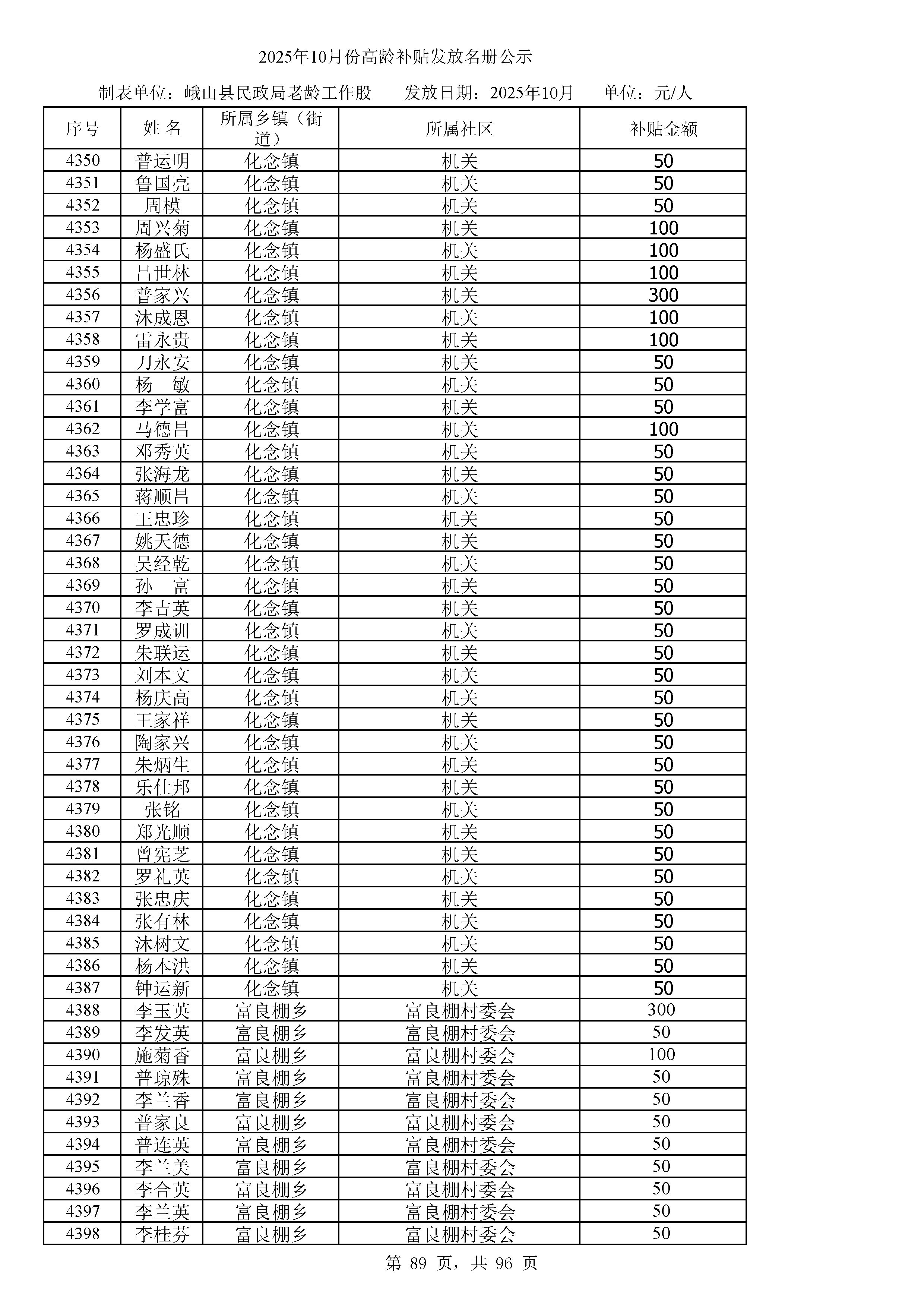
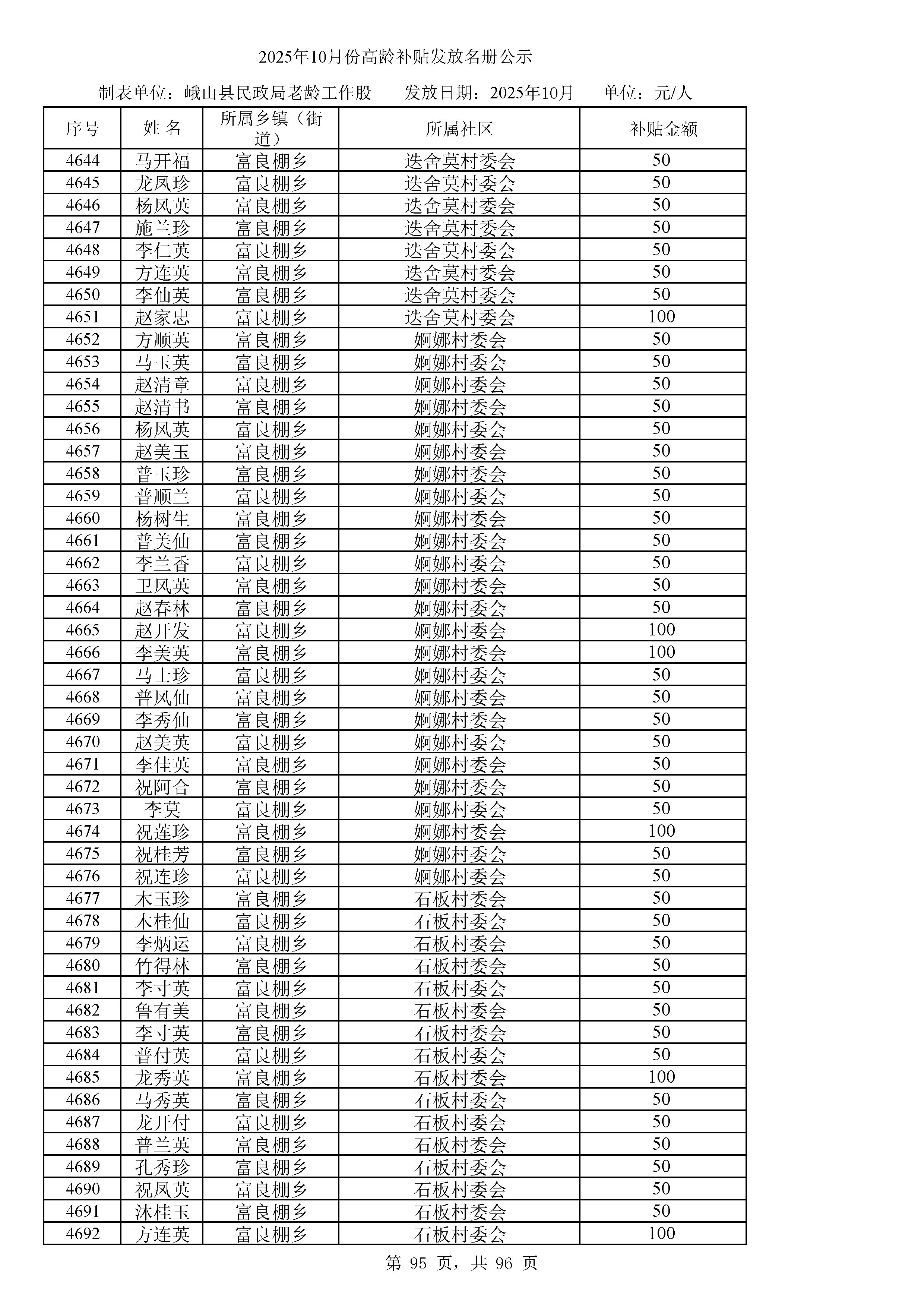
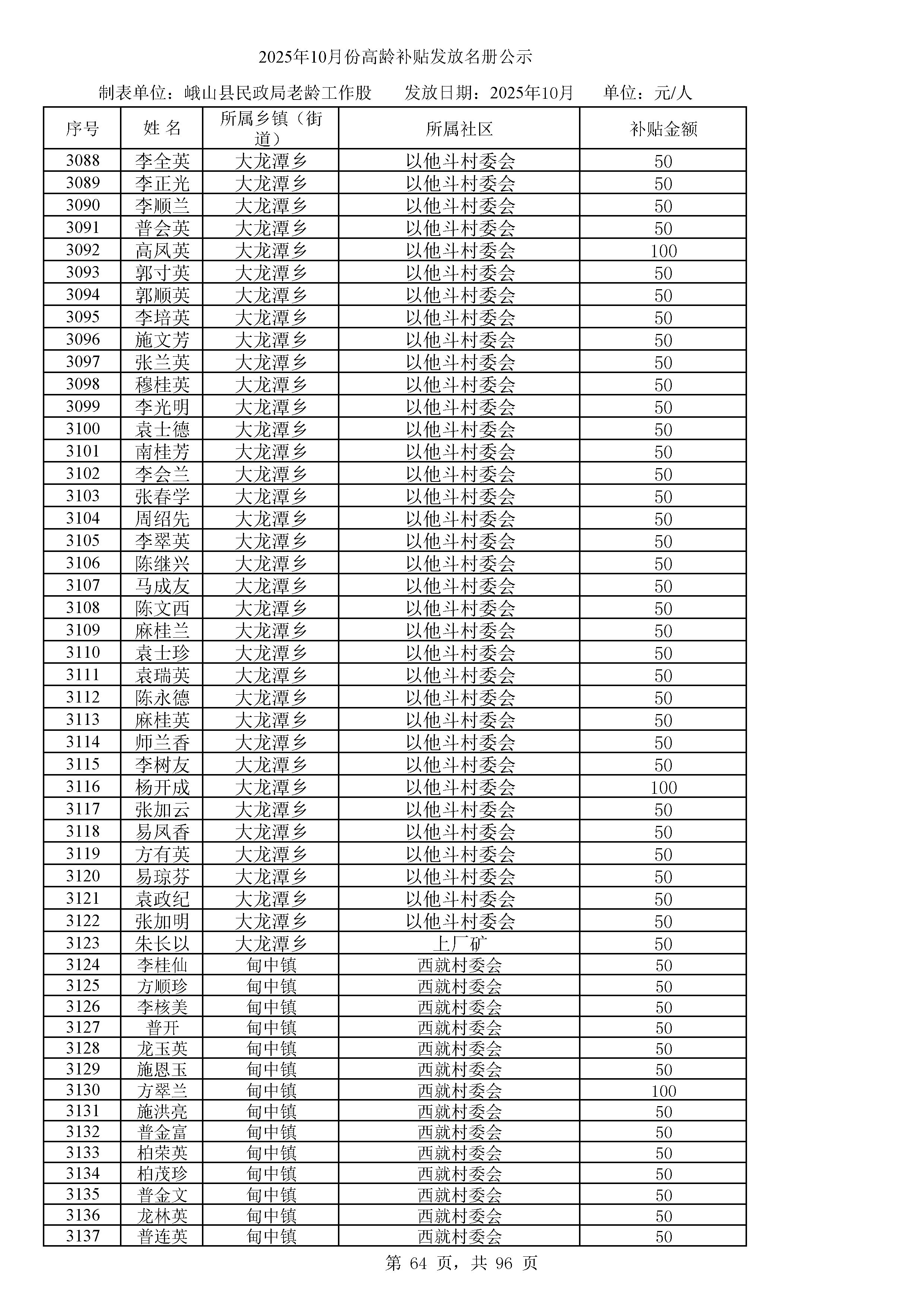
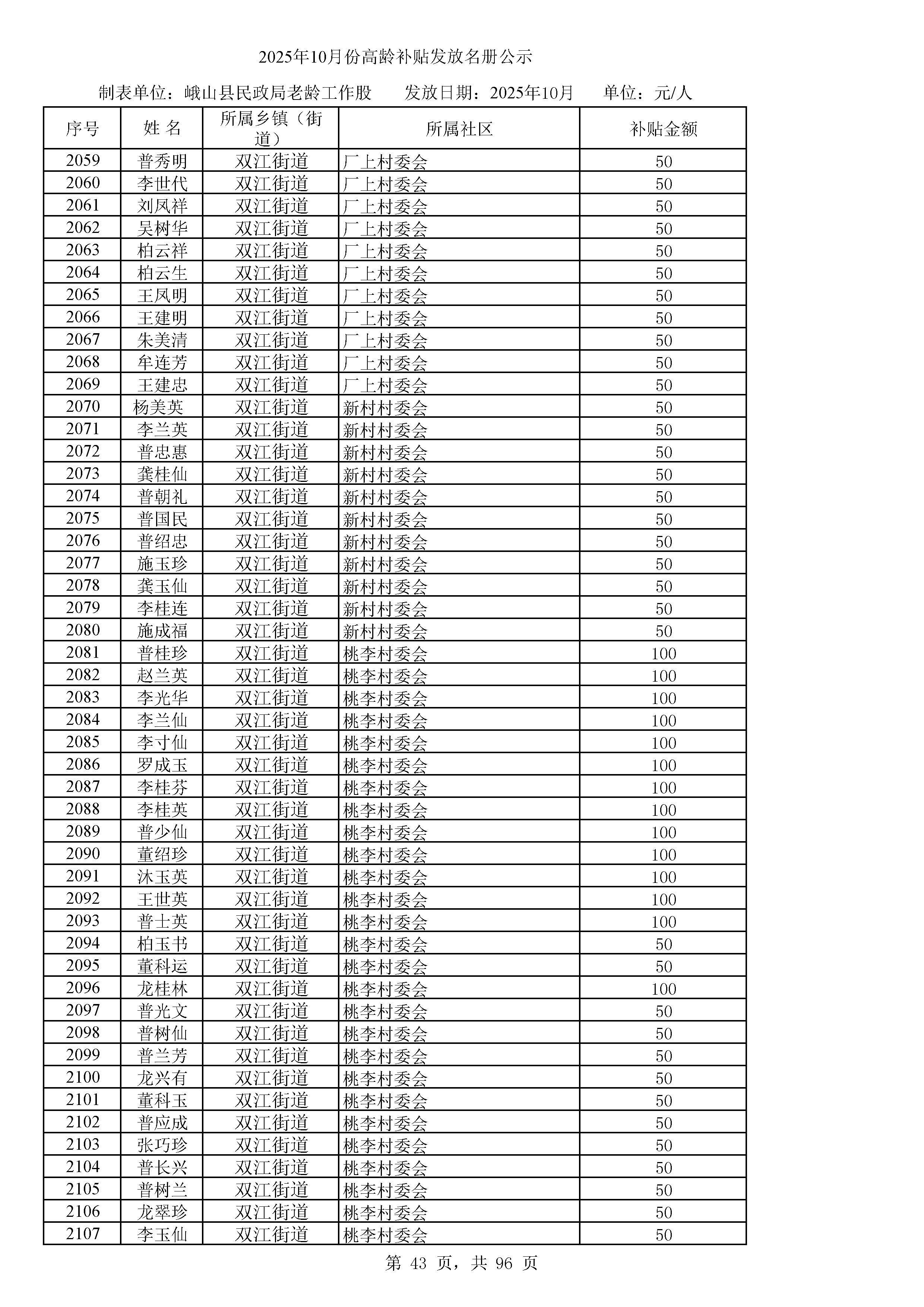
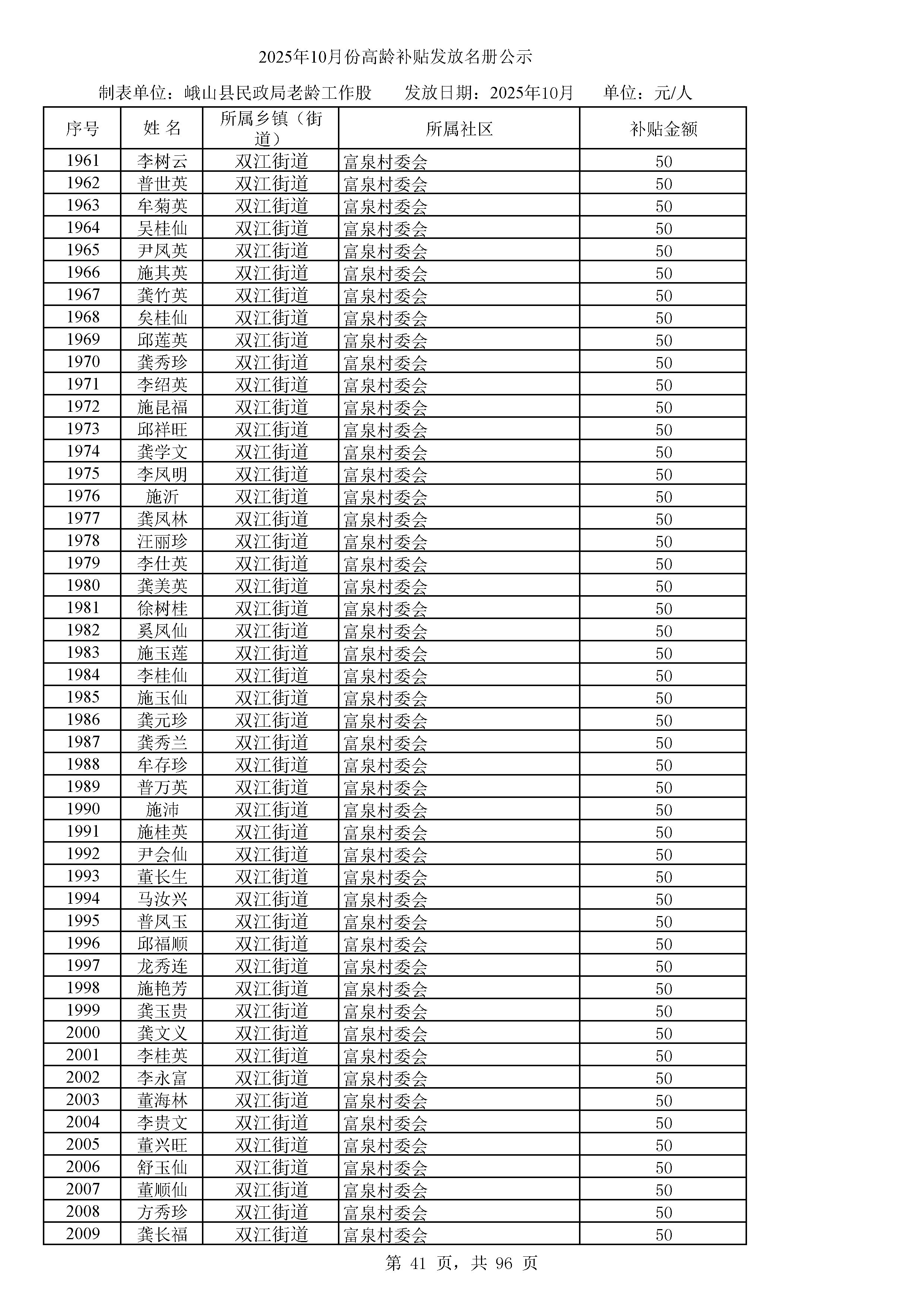
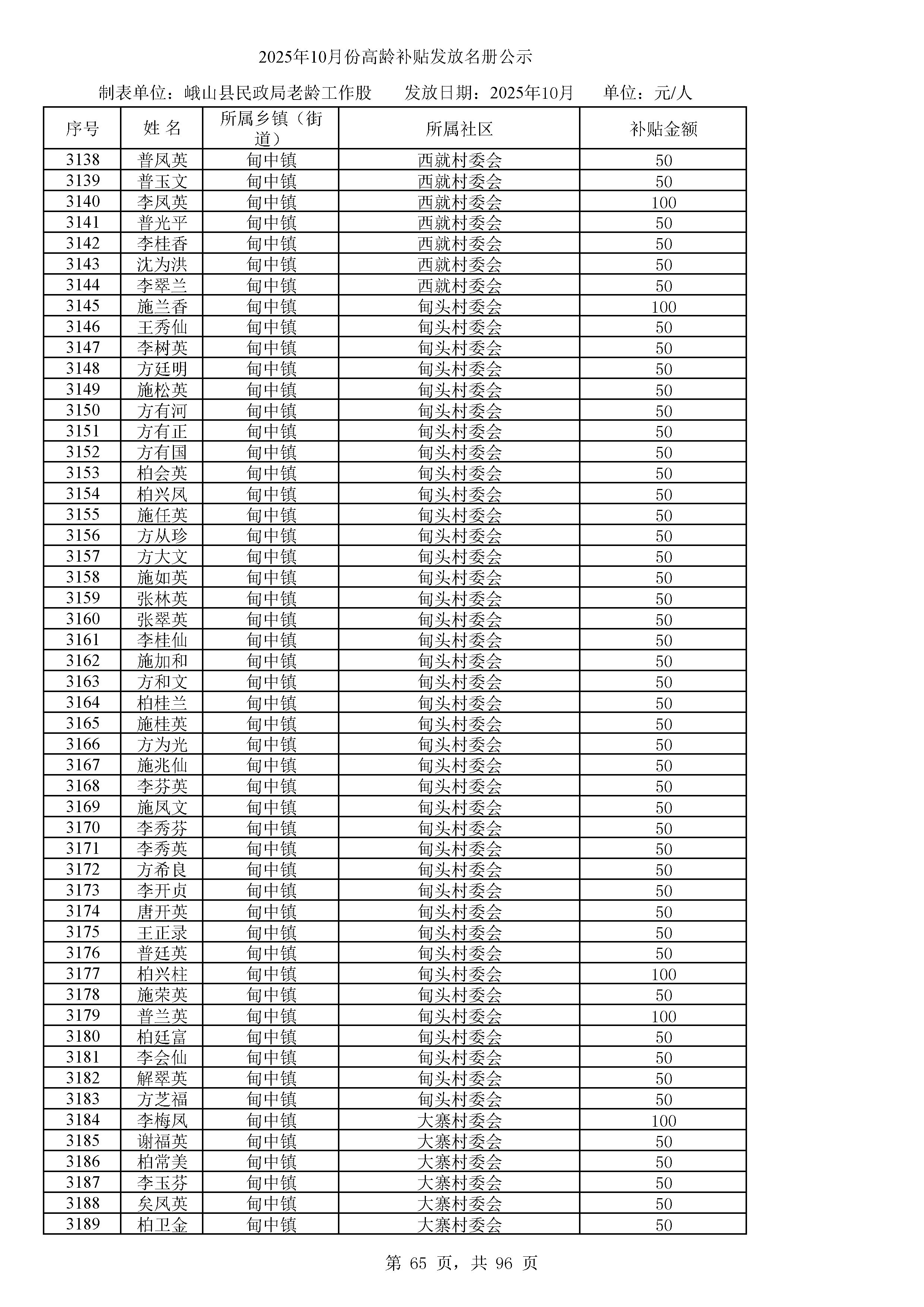
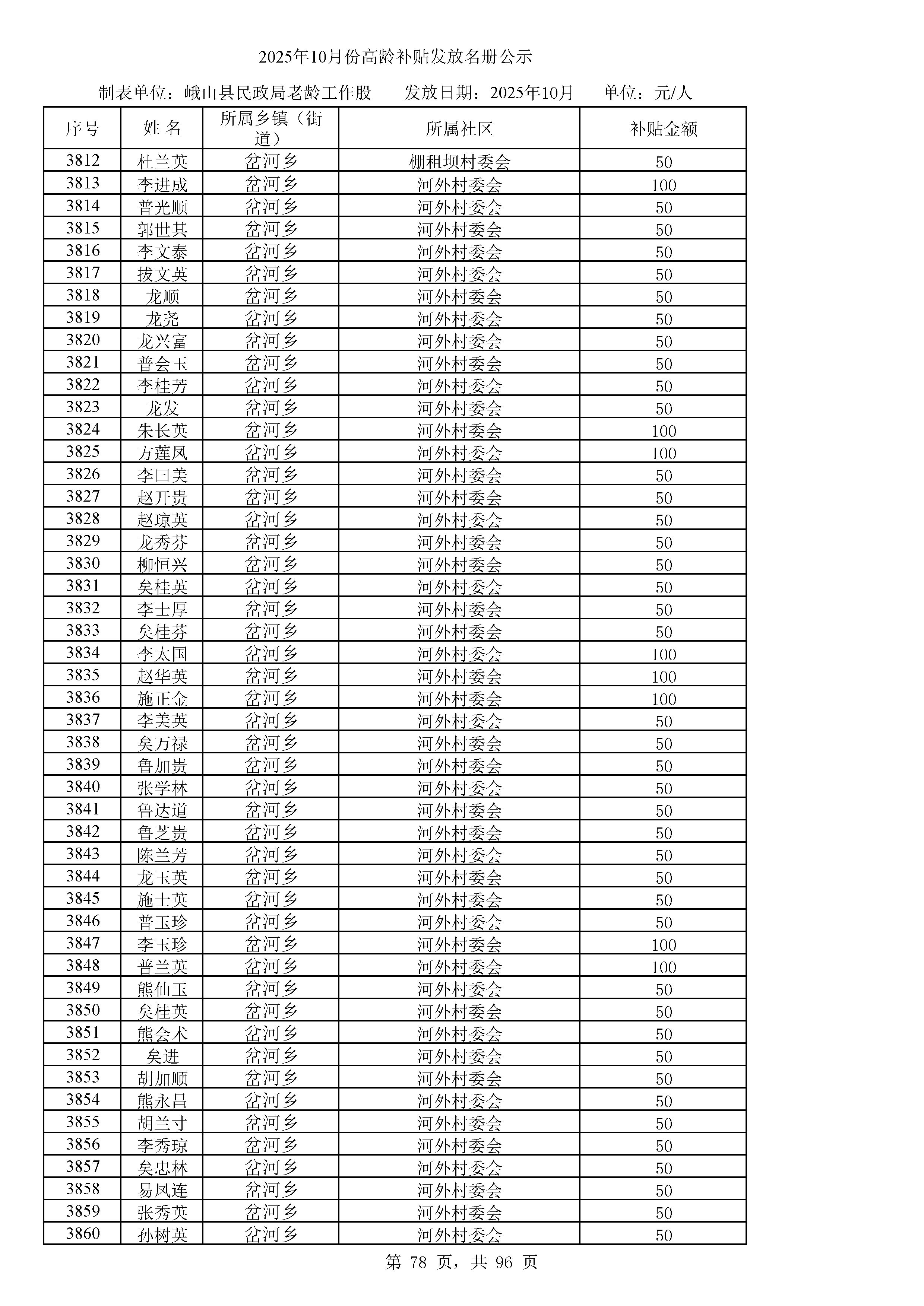
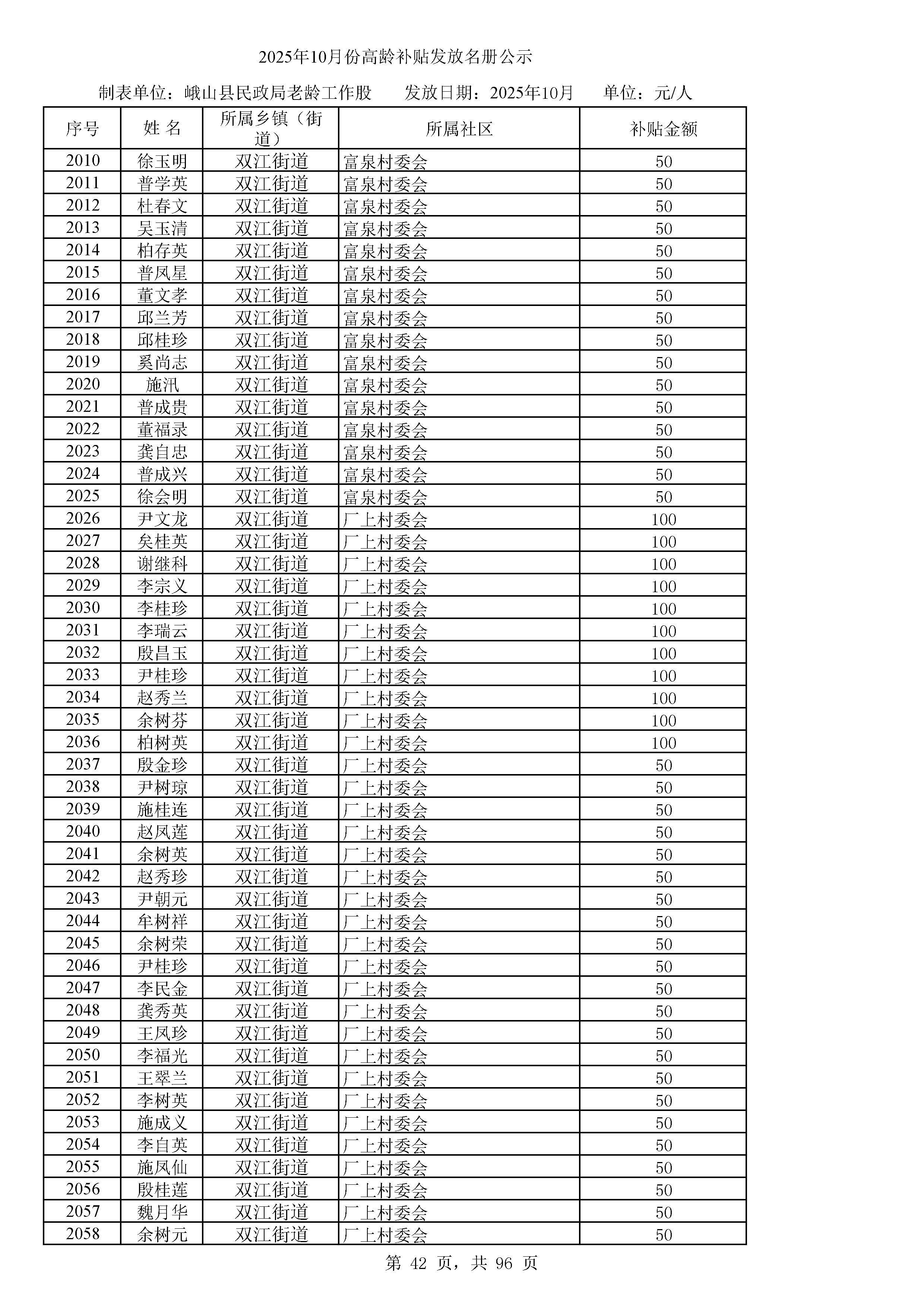
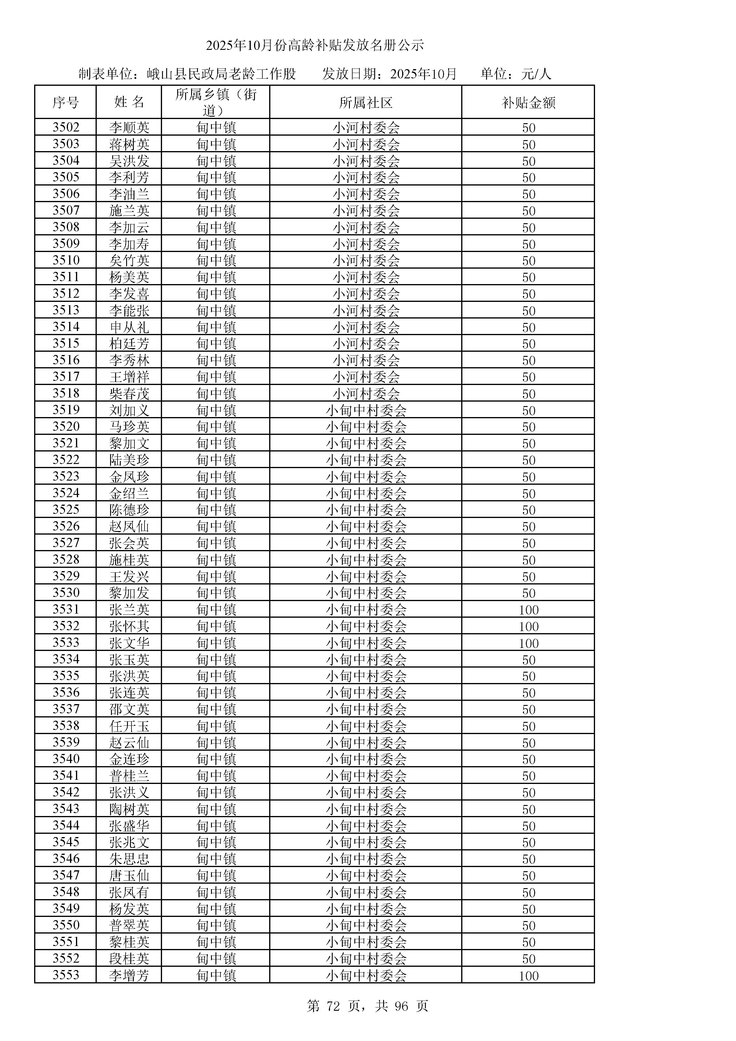
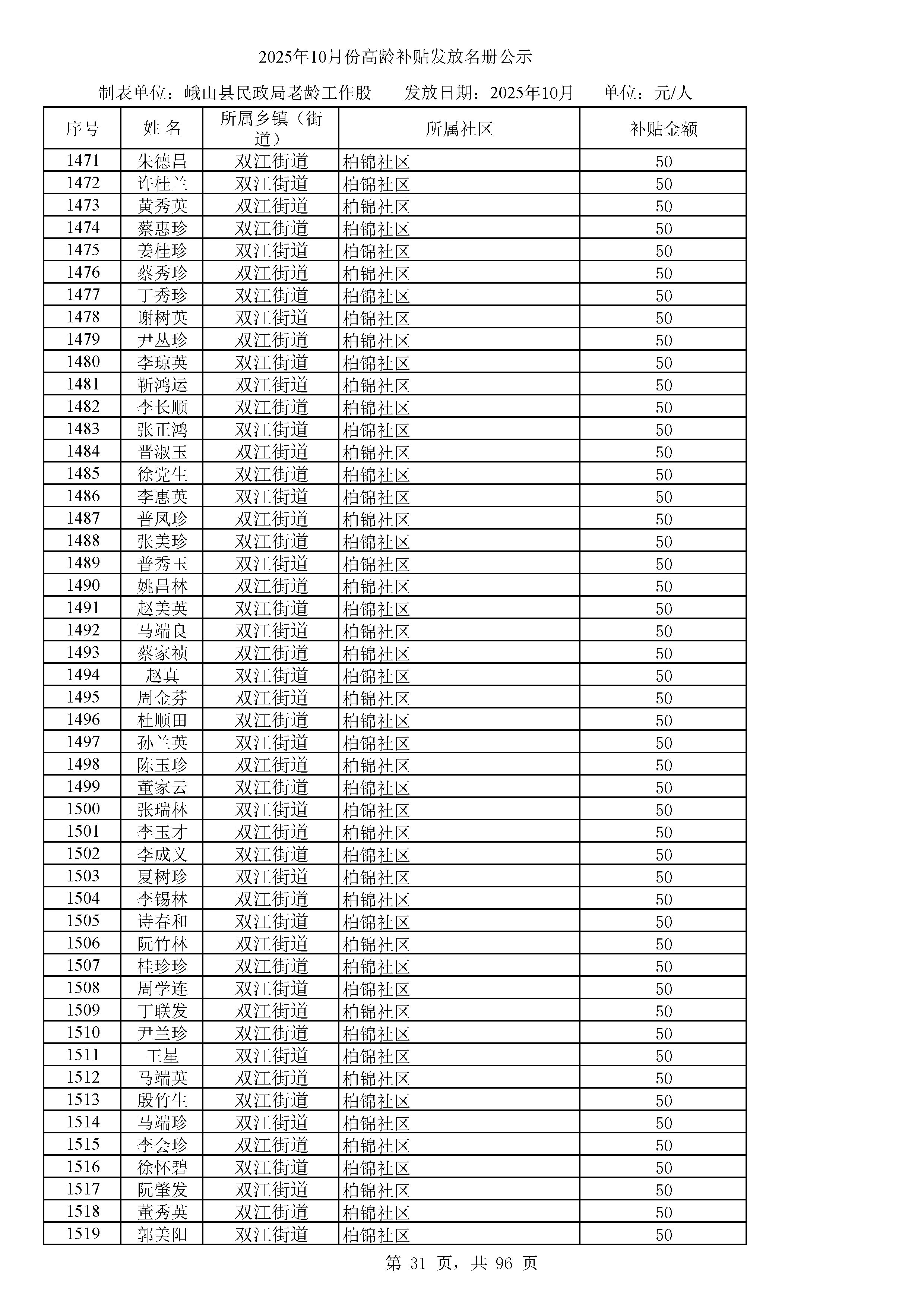
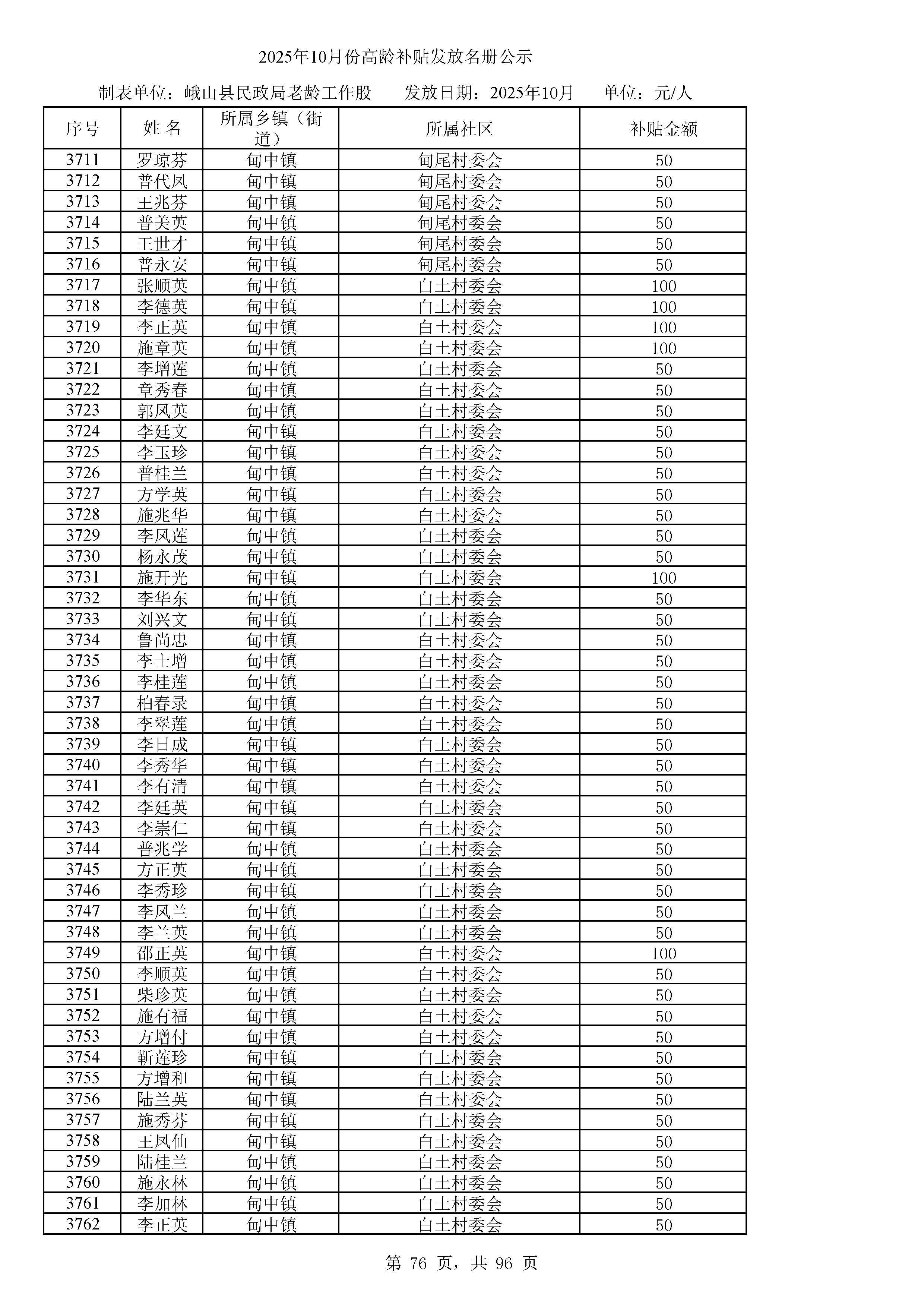
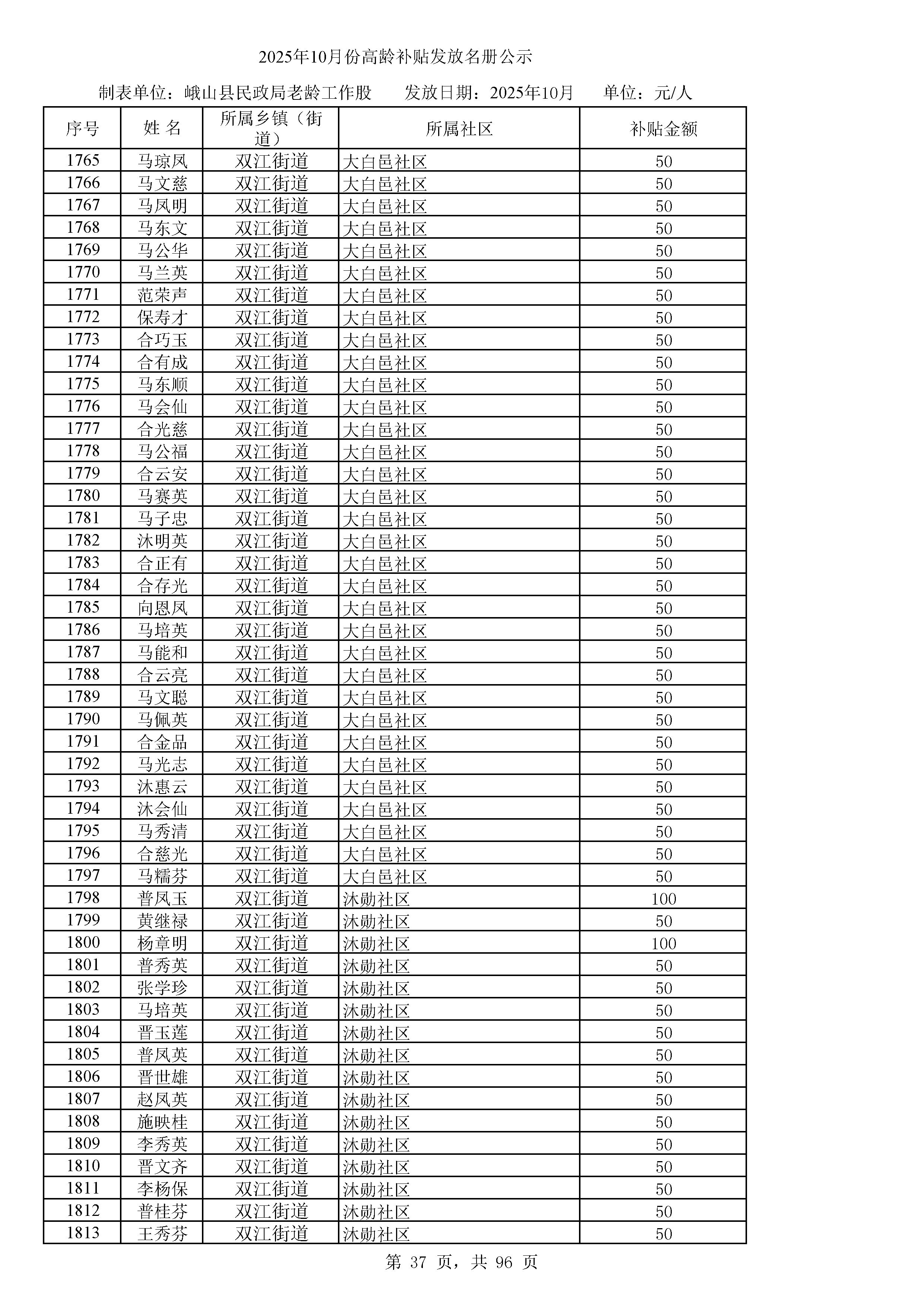
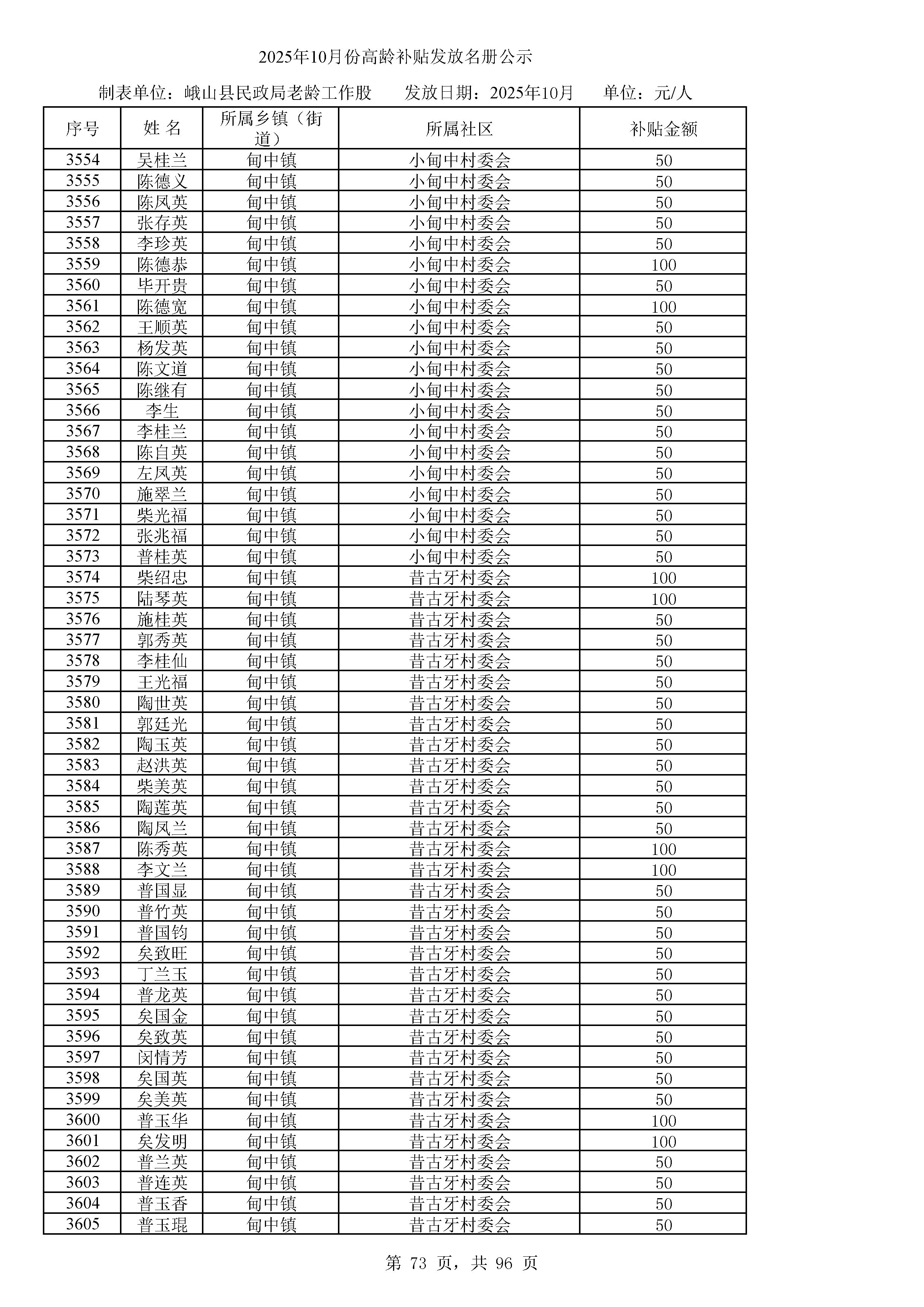
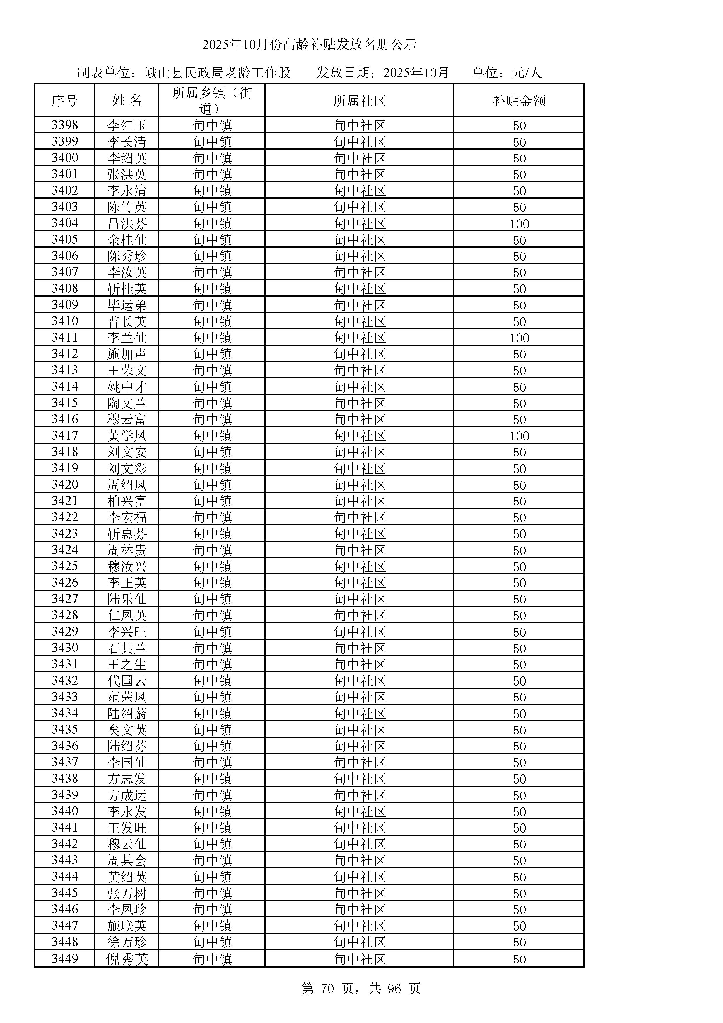
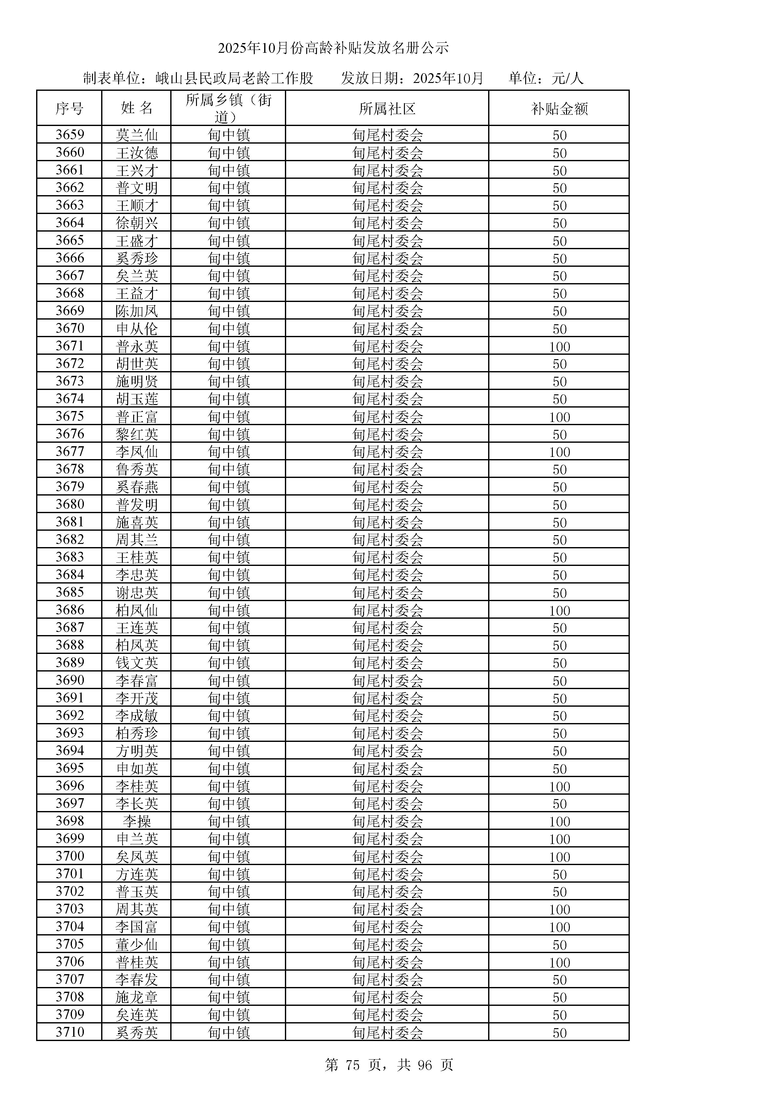
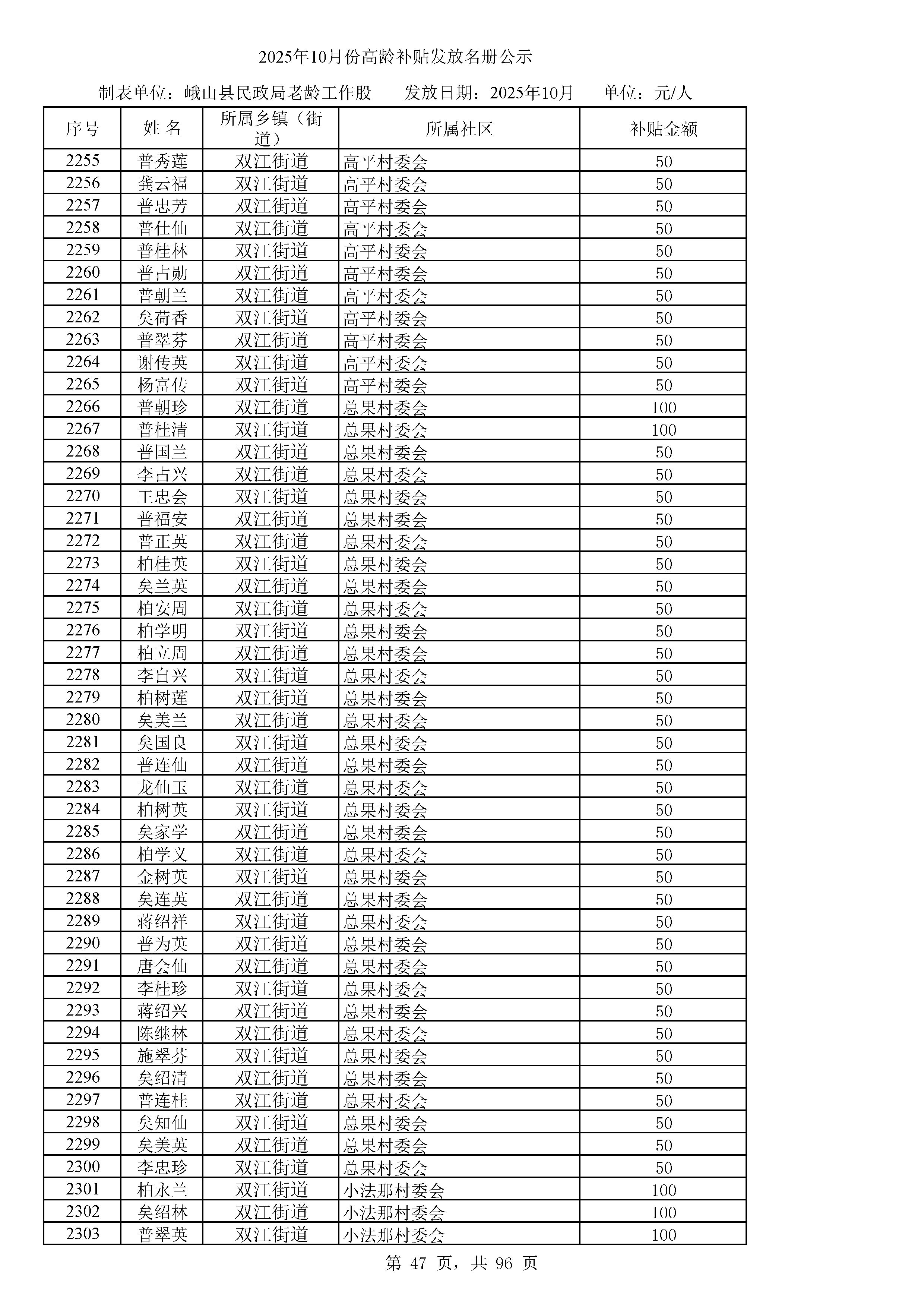
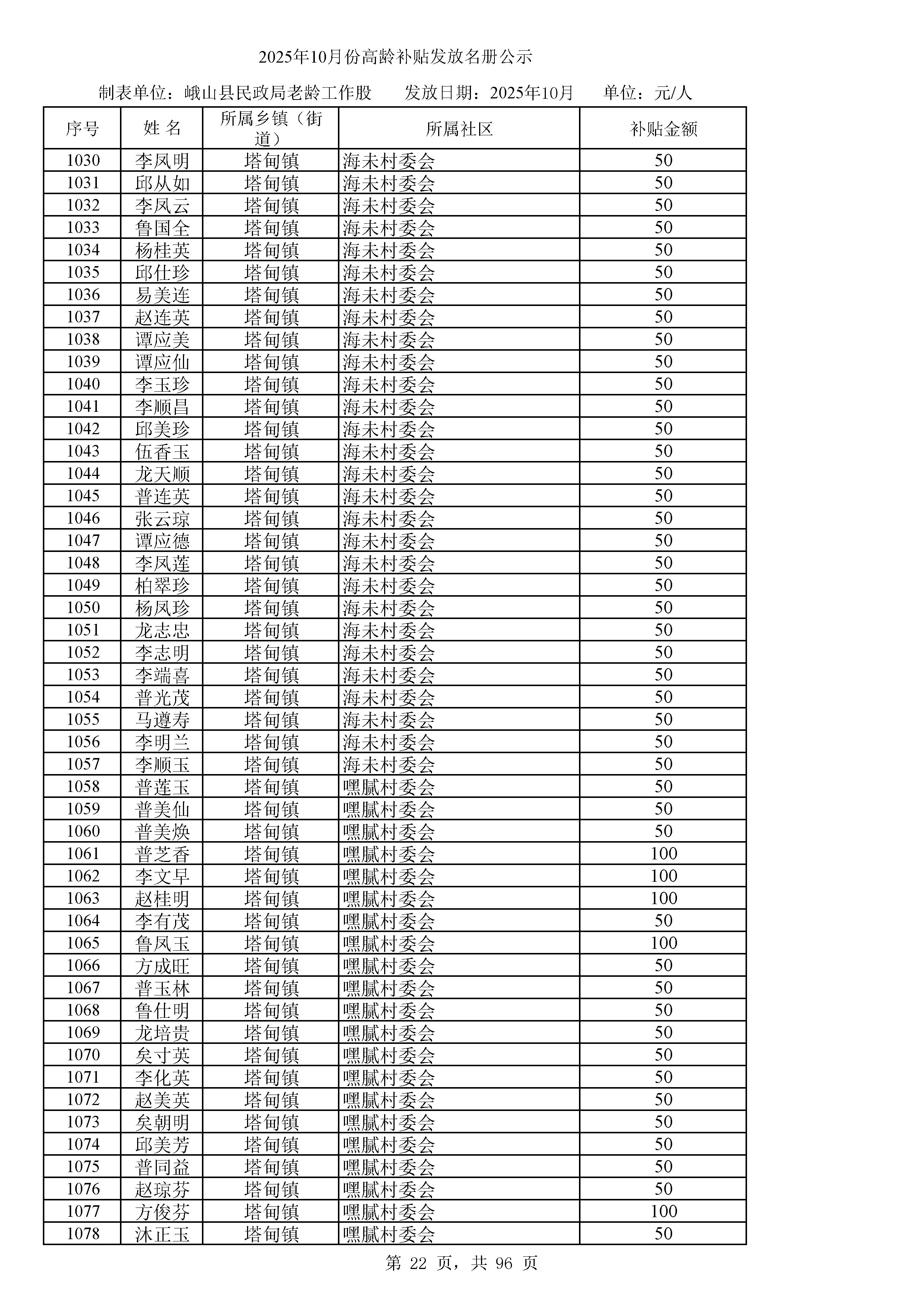
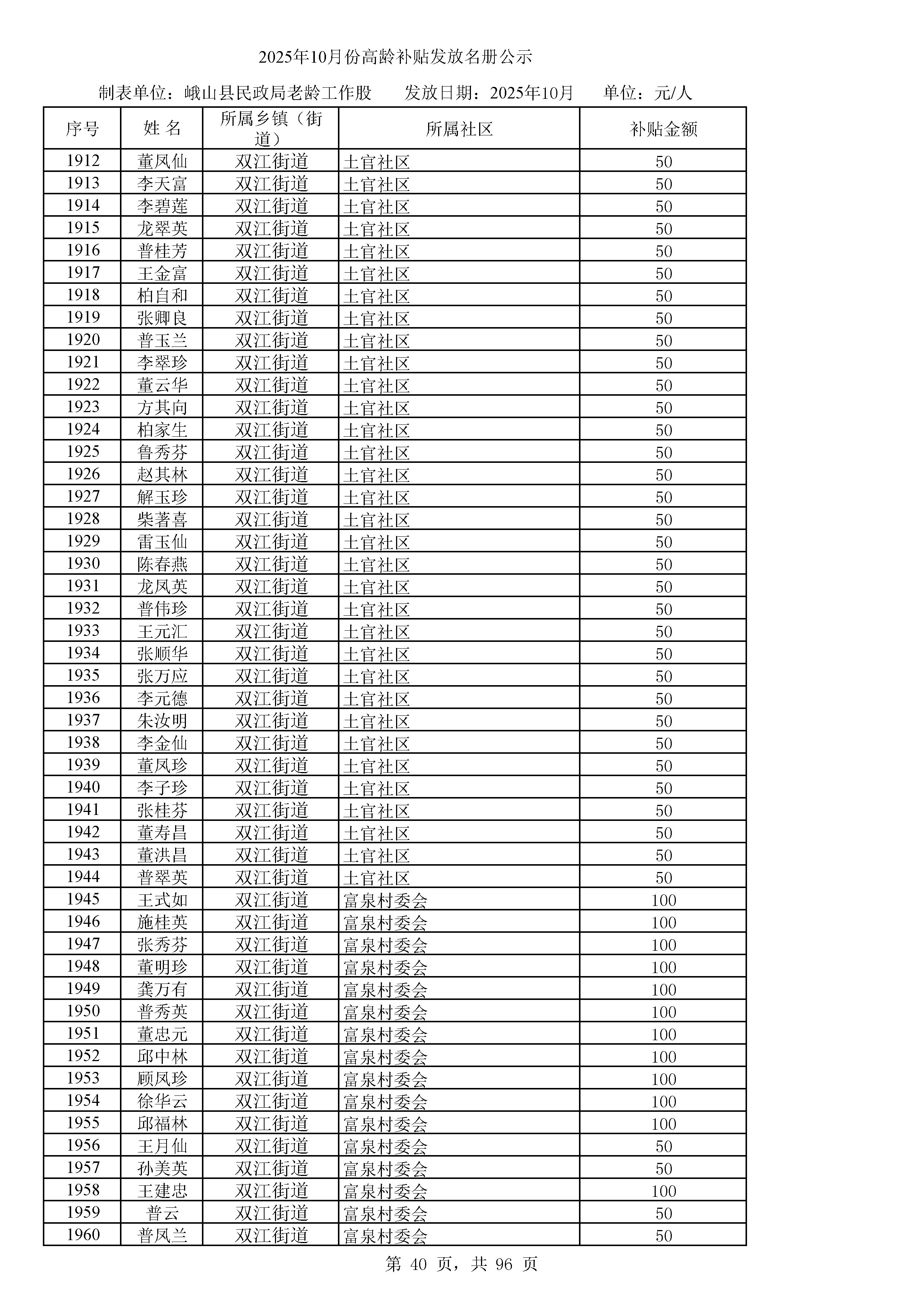
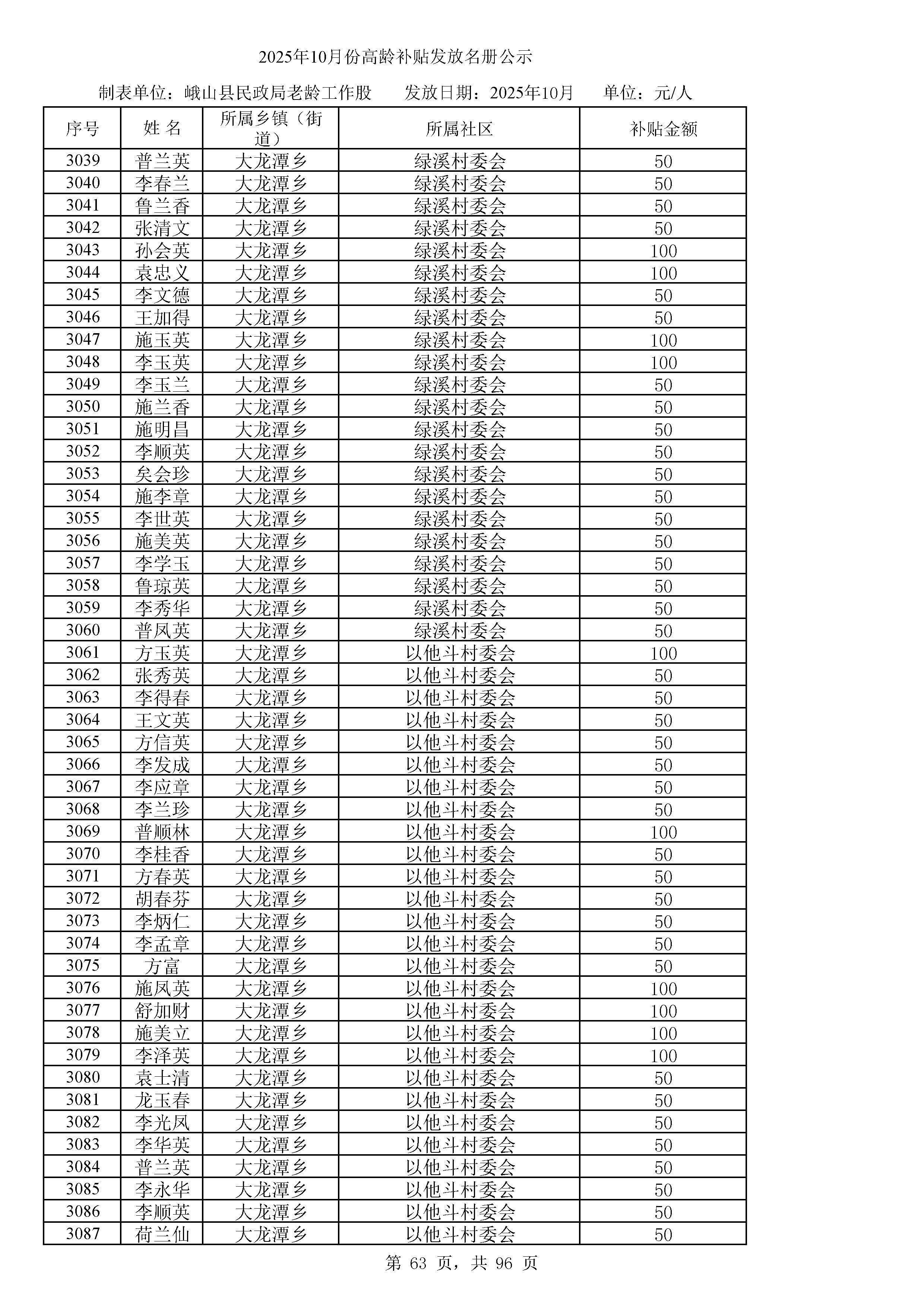
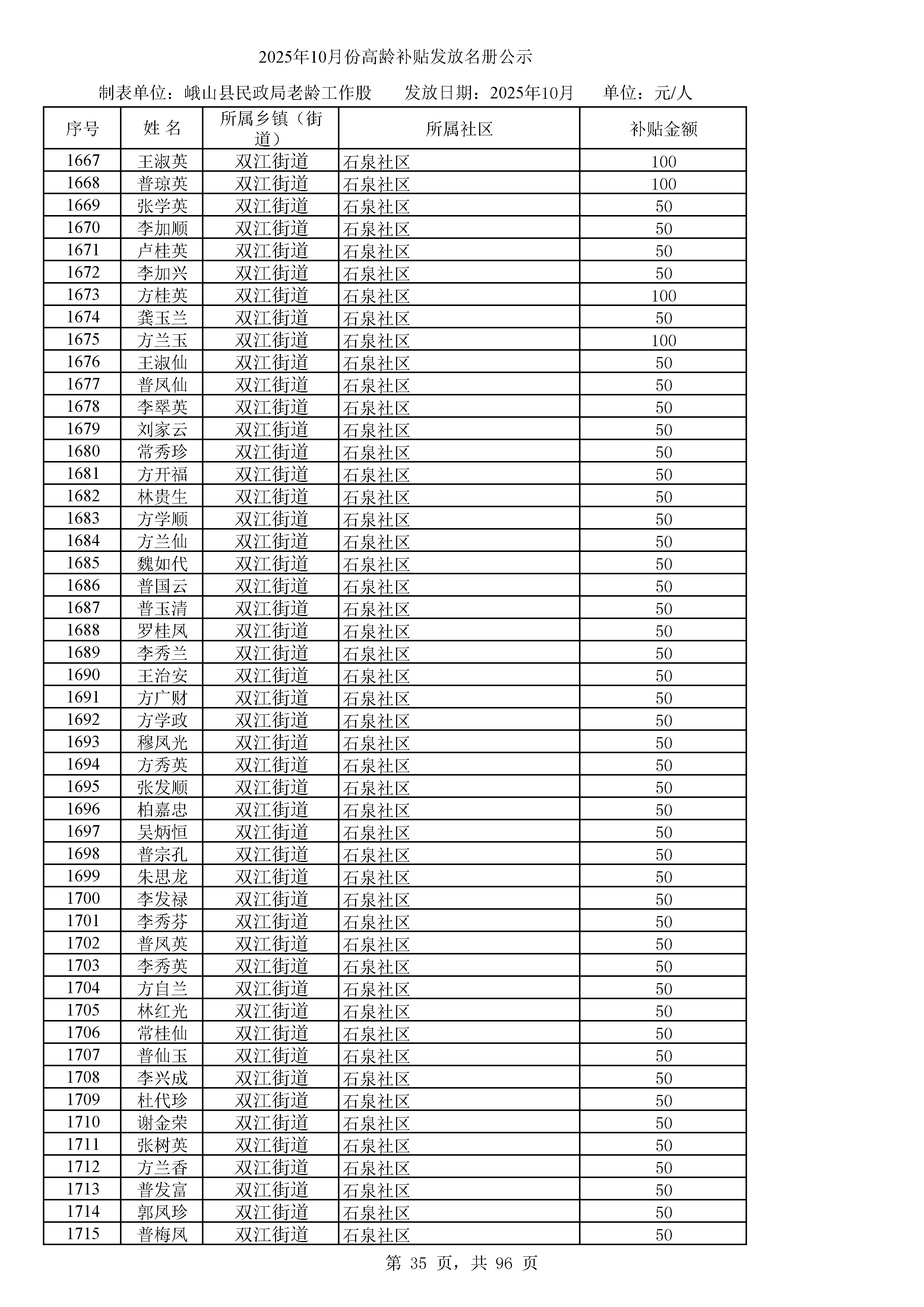
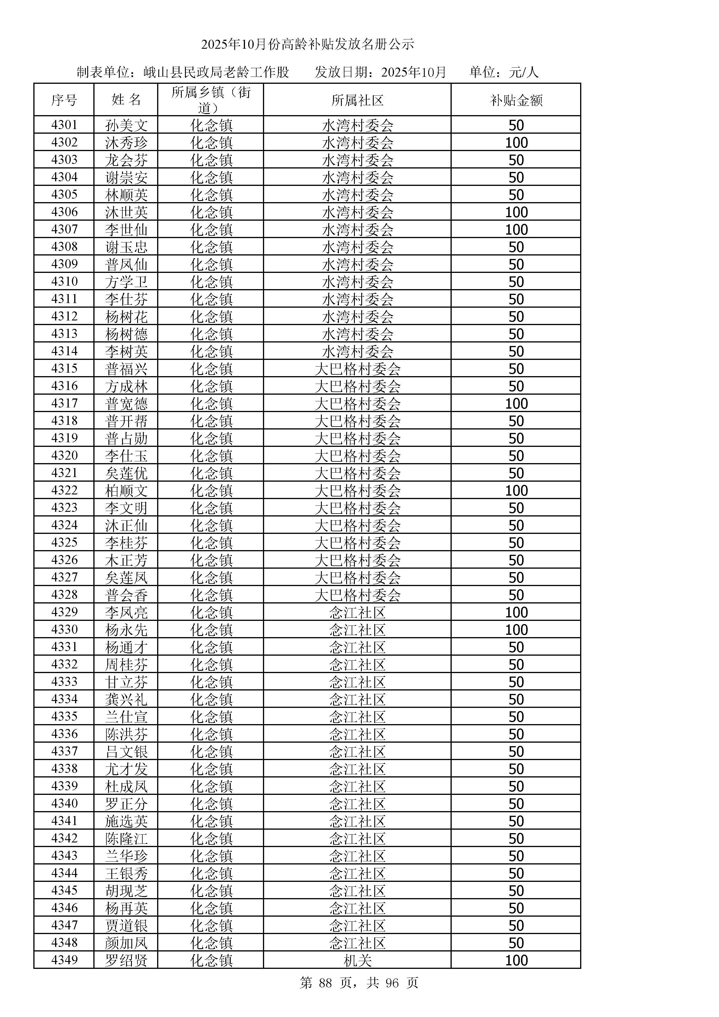
2025年10月份高龄补贴发放名册公示
发布时间:2025-10-21 16:25 来源:峨山民政局 打印


主办峨山彝族自治县人民政府 网站地图

承办:峨山彝族自治县人民政府办公室  联系电话:0877-4015938

运行维护:峨山彝族自治县人民政府办公室

联系地址:峨山县双江街道桂峰路43号

滇公网安备:53042602000003号

网站标识码:5304260001  备案号:滇ICP备07500970号-1

网上有害信息举报电话:0877-4015938,0877-4017511

网站支持IPv6